EVENTOS EXTREMOS DE PRECIPITAÇÃO E O RISCO DE FALHA ASSOCIADO EM PROJETOS HIDRÁULICOS NO ESTADO DE MATO GROSSO DO SUL, BRASIL

Autores

DOI:

https://doi.org/10.29183/2447-3073.MIX2021.v7.n2.147-160

Palavras-chave:

Precipitação máxima, Período de retorno, Análise probabilística, Análise de risco, Vida útil da estrutura, Modelo de distribuição probabilística.

Resumo

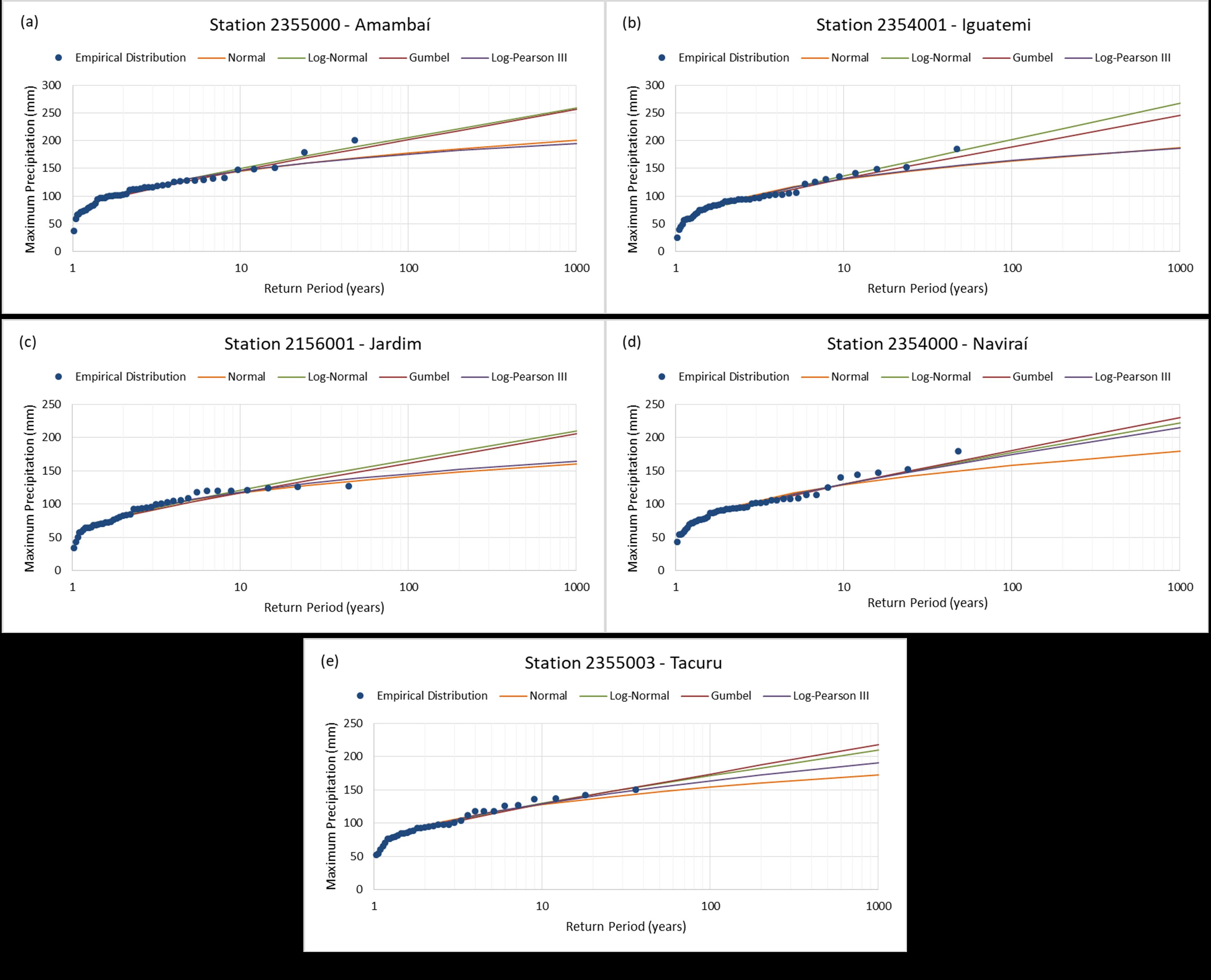
É necessário conhecer as ocorrências extremas de precipitação em uma região para obtenção de projetos de infraestrutura satisfatórios. As regiões de clima tropical são caracterizadas por seus eventos de chuvas intensas durante o verão e, nos últimos anos, em decorrência das mudanças climáticas, esses eventos estão se tornando recorrentes. Um modelo de distribuição de probabilidade teórica é normalmente aplicado para extrapolar eventos extremos para altos períodos de retorno. Neste estudo, verificou-se se os modelos de distribuição de probabilidade são eficientes para estimar eventos extremos de precipitação para o período de retorno recomendado em normativas de dimensionamento de obras hidráulicas. Cinco cidades do estado de Mato Grosso do Sul, localizadas na região centro-oeste do Brasil, que foram afetadas por desastres causados por fortes chuvas foram adotadas como estudo de caso. Os resultados ilustram que as recomendações dos períodos de retorno utilizados para o dimensionamento das estruturas de controle hidráulico são insuficientes para evitar os danos causados por eventos de precipitação, gerando um alto risco de ruptura das estruturas.

Biografia do Autor

  • Ana Clara Costa Oliveira, Universidade Federal de Mato Grosso do Sul
    Engenheira Civil
  • Aleska Kaufmann Almeida, Universidade Federal de Mato Grosso do Sul
    Possui graduação em Engenharia Civil pela Universidade Federal de Mato Grosso do Sul (2010), especialização em Engenharia de Segurança do Trabalho pelo Centro Universitário Anhanguera de Campo Grande (2012), especialização em Gestão de Projetos (MBA - Master in Business Administration) pelo Centro Universitário Anhanguera de Campo Grande (2014) e é Mestre em Tecnologias Ambientais - Saneamento Ambiental e Recursos Hídricos pela Universidade Federal de Mato Grosso do Sul (2016). Atualmente é Doutoranda do Programa de Pós-Graduação em Tecnologias Ambientais da Universidade Federal de Mato Grosso do Sul na área de concentração Recursos Hídricos.
  • José Antonio Guarienti, Universidade Federal de Mato Grosso do Sul
    Possui graduação em Engenharia Civil pela Universidade Federal de Mato Grosso do Sul. Atualmente é Mestrando do Programa de Pós-Graduação em Tecnologias Ambientais da Universidade Federal de Mato Grosso do Sul na área de concentração Recursos Hídricos.
  • Línika Vicente Ferreira de Almeida, Universidade Federal de Mato Grosso do Sul
    Possui graduação em Engenharia Sanitária e Ambiental pela Universidade Católica Dom Bosco (2014) e mestrado em Saneamento Ambiental e Recursos Hídricos pelo Programa de Pós Graduação em Tecnologias Ambientais da Universidade Federal de Mato Grosso do Sul (2019).
  • Robert Schiaveto de Souza, Universidade Federal de Mato Grosso do Sul
    Possui graduação em Engenharia Civil pela Universidade Federal de Mato Grosso do Sul (1987), mestrado em Engenharia Hidráulica e Saneamento pela Universidade de São Paulo (1994) e doutorado em Engenharia Hidráulica e Saneamento pela Universidade de São Paulo (1998). Atualmente é professor titular da Universidade Federal de Mato Grosso do Sul. Tem experiência na área de Engenharia Sanitária, com ênfase em Sistemas de Distribuição de Água e de Esgoto, atuando principalmente nos seguintes temas: análise e controle de sistemas de distribuição de água.
  • Isabel Kaufmann de Almeida, Universidade Federal de Mato Grosso do Sul
    Possui Graduação em Engenharia Civil pela Pontifícia Universidade Católica do Rio Grande do Sul (1994), Mestrado (2009) e Doutorado (2014) em Tecnologias Ambientais - Saneamento Ambiental e Recursos Hídricos pela Universidade Federal de Mato Grosso do Sul. É Professora Adjunta na Universidade Federal de Mato Grosso do Sul, onde ministra disciplinas relacionadas Fenômenos de Transporte, Hidrologia, Hidráulica e Recursos Hídricos em Cursos de Graduação (Engenharia Civil, Engenharia Ambiental, Engenharia Elétrica, Engenharia de Produção e Engenharia de Computação) e Pós-Graduação (Tecnologias Ambientais). É Coordenadora do Laboratório ModelHy - Modelagem e Ecotecnologias, sediado na FAENG, Campus de Campo Grande da Universidade Federal de Mato Grosso do Sul. É Coordenadora dos Cursos de Mestrado e Doutorado em Tecnologias Ambientais do Programa de Pós-Graduação em Tecnologias Ambientais (PPGTA), FAENG, UFMS. Tem experiência nas diferentes áreas da Engenharia Civil. Buscando a representação matemática dos processos envolvidos, atua nos temas: Recursos Hídricos, Hidrologia, Hidráulica, Ecotecnologias, Processos Hidrológicos, Balanço Hídrico, Modelagem e Análise de Infraestruturas. É Líder do Grupo de Pesquisa ModelHy.

Referências

ALEXANDER, W. J. R. Flood risk reduction measures: Incorporating flood hydrology for Southern Africa. Department of Civil and Biosystems Engineering, University of Pretoria, Pretoria, 2001. ALVARES, Clayton Alcarde et al. Köppen's climate classification map for Brazil. Meteorologische Zeitschrift, v. 22, n. 6, p. 711-728, 2013. DOI: 10.1127/0941-2948/2013/0507

ANA – Agencia Nacional de Águas. Available in: http://www.snirh.gov.br/hidroweb/. Accessed in: August, 12, 2017.

BABAR, Santosh; RAMESH, H. Analysis of extreme rainfall events over Nethravathi basin. ISH Journal of Hydraulic Engineering, v. 20, n. 2, p. 212-221, 2014. DOI: 10.1080/09715010.2013.872353

BAPTISTA, Márcio Benedito; DE OLIVEIRA NASCIMENTO, Nilo; BARRAUD, Sylvie. Técnicas compensatórias em drenagem urbana. ABRH, 2011.

BRAZIL. Instrução Normativa n.º 001, de agosto de 2012. Estabelece procedimentos e critérios para a decretação de situação de emergência ou estado de calamidade pública pelos Municípios, Estados e pelo Distrito Federal, e para o reconhecimento federal das situações de anormalidade decretadas pelos entes federativos e dá outras providências. Diário Oficial da União, Brasília, DF: Ministério da Integração Nacional. Brazil. (2012).

BRAZIL. Instrução Normativa Nº 02, de 20 de dezembro de 2016. Estabelece procedimentos e critérios para a decretação de situação de emergência ou estado de calamidade pública pelos Municípios, Estados e pelo Distrito Federal, e para o reconhecimento federal das situações de anormalidade decretadas pelos entes federativos e dá outras providências. Diário Oficial da União, Brasília, DF: Ministério Da Integração Nacional. Brazil. (2016)

DAEE-CETESB - Drenagem urbana: Manual de projeto. São Paulo: DAEE/CTESB. (1986)

DAVE, Hiren; ME, James. Characteristics of intense rainfall over Gujarat State (India) based on percentile criteria. Hydrological Sciences Journal, v. 62, n. 12, p. 2035-2048, 2017. DOI: 10.1080/02626667.2017.1357818

DAWDY, D. R.; MATALAS, N. C. Statistical and probability analysis of hydrologic data, part III: Analysis of variance, covariance and time series. Handbook of applied hydrology, a compendium of water-resources technology, p. 8.68-8.90, 1964.

DNIT - Departamento Nacional de Infraestrutura de Transportes. Diretoria Executiva. Instituto de Pesquisas Rodoviárias. Diretrizes básicas para elaboração de estudos e projetos rodoviários: instruções para acompanhamento e análise. Rio de Janeiro: IPR. (2010)

GEBREGIORGIS, Abebe S.; HOSSAIN, Faisal. Hydrological risk assessment of old dams: Case study on Wilson Dam of Tennessee River Basin. Journal of Hydrologic Engineering, v. 17, n. 1, p. 201-212, 2012. DOI: 10.1061/(ASCE)HE.1943-5584.0000410

GÖRGENS, A. Joint Peak-Volume (JPV) Design Flood Hydrographs for South Africa: WRC Report No 1420/3/07. 2007.

HAJANI, Evan; RAHMAN, Ataur; ISHAK, Elias. Trends in extreme rainfall in the state of New South Wales, Australia. Hydrological Sciences Journal, v. 62, n. 13, p. 2160-2174, 2017. DOI : 10.1080/02626667.2017.1368520

HRU - Design flood determination in South Africa. Report No. 1/72. Hydrological Research Unit, Johannesburg: Department of Civil Engineering, University of the Witwatersrand. (1972).

Instituto Brasileiro De Geografia e Estatística (IBGE) Informações dos estados brasileiros. Available: https://www.ibge.gov.br/. (2016) Acess in: may 12 2017.

IPCC - Intergovernmental Panel on Climate Change. Managing the risks of extreme events and disasters to advance climate change adaptation, A Special Report of Working Groups I and II of the Intergovernmental Panel on Climate Change, New York: Cambridge University Press. (2012)

Jain SK, Kumar V. Trend analysis of rainfall and temperature data for India. Current Science, 37-49. (2012)

KAO, Shih‐Chieh; GOVINDARAJU, Rao S. A bivariate frequency analysis of extreme rainfall with implications for design. Journal of Geophysical Research: Atmospheres, v. 112, n. D13, 2007. DOI: 10.1029/2007JD008522

KEEFER, Timothy O. et al. Quantifying extreme rainfall events and their hydrologic response in southeastern Arizona. Journal of Hydrologic Engineering, v. 21, n. 1, p. 04015054, 2016. DOI: 10.1061/(ASCE)HE.1943-5584.0001270

Kite GW. Frequency and risk analyses in hydrology. Water Resources Publications, Fort Collins, Colorado. (1977).

KOUTSOYIANNIS, Demetris. Statistics of extremes and estimation of extreme rainfall: II. Empirical investigation of long rainfall records/Statistiques de valeurs extrêmes et estimation de précipitations extrêmes: II. Recherche empirique sur de longues séries de précipitations. Hydrological Sciences Journal, v. 49, n. 4, 2004.

KYOUNG, Min Soo et al. Dynamic characteristics of monthly rainfall in the Korean Peninsula under climate change. Stochastic Environmental Research and Risk Assessment, v. 25, n. 4, p. 613-625, 2011. DOI: 10.1007/s00477-010-0425-9

LONGO, Adair José; SAMPAIO, Silvio Cesar; SUSZEK, Morgana. Equações de chuvas intensas e precipitação provável para o município de Cascavel-Paraná. Varia Scientia, v. 6, n. 11, p. 119-127, 2006.

LUO, Pingping et al. Historical assessment of Chinese and Japanese flood management policies and implications for managing future floods. Environmental Science & Policy, v. 48, p. 265-277, 2015. DOI: 10.1016/j.envsci.2014.12.015

MANN, Henry B.; WHITNEY, Donald R. On a test of whether one of two random variables is stochastically larger than the other. The annals of mathematical statistics, p. 50-60, 1947. DOI: https://www.jstor.org/stable/2236101

MASSEY JR, Frank J. The Kolmogorov-Smirnov test for goodness of fit. Journal of the American statistical Association, v. 46, n. 253, p. 68-78, 1951. DOI:

https://doi.org/10.1080/01621459.1951.10500769

Mato Grosso do Sul. Decreto “E”, Nº 35, de 3 de dezembro de 2015, Diário Oficial n. 9.059, de 4 de dezembro de 2015. Mato Grosso do Sul. (2015)

MUHAMMAD, Nur S.; JULIEN, Pierre Y.; SALAS, Jose D. Probability structure and return period of multiday monsoon rainfall. Journal of Hydrologic Engineering, v. 21, n. 1, p. 04015048, 2016. DOI: 10.1061/(ASCE)HE.1943-5584.0001253

Naghettini M, Horizonte B. Engenharia de recursos hídricos. Belo Horizonte: UFMG. (1999).

Naghettini M, Pinto ÉJDA (2007) Hidrologia estatística. Belo Horizonte: CPRM.

NBR15575: Edificações Habitacionais – Desempenho. Parte 1: Requisitos gerais. Rio de Janeiro: ABNT. (2013).

NERC. Flood Studies Report, Vol. 1. London: National Environmental Research

Council, 1975.

NORTJE, J. H. Estimation of extreme flood peaks by selective statistical analyses of relevant flood peak data within similar hydrological regions. Journal of the South African Institution of Civil Engineering, v. 52, n. 2, p. 48-57, 2010.

Porto RLL. Escoamento superficial direto. In: Tucci, C., Porto, Rubem La Laina & Barros, Mario. Drenagem Urbana. Porto Alegre: ABRH/Editora da Universidade/UFRGS. (1995)

RAHMANI, Vahid et al. Extreme daily rainfall event distribution patterns in Kansas. Journal of Hydrologic Engineering, v. 19, n. 4, p. 707-716, 2014. DOI:10.1061/(ASCE)HE.1943-5584.0000839

REN, Minglei et al. A comparison of flood control standards for reservoir engineering for different countries. Water, v. 9, n. 3, p. 152, 2017. DOI: 10.3390/w9030152.

RENARD, Benjamin; LANG, Michel. Use of a Gaussian copula for multivariate extreme value analysis: Some case studies in hydrology. Advances in Water Resources, v. 30, n. 4, p. 897-912, 2007. DOI: 10.1016/j.advwatres.2006.08.001

SALAS, Jose D. et al. Quantifying the uncertainty of return period and risk in hydrologic design. Journal of Hydrologic Engineering, v. 18, n. 5, p. 518-526, 2013. DOI: 10.1061/(ASCE)HE.1943-5584.0000613

SALVADORI, G.; DE MICHELE, Carlo. On the use of copulas in hydrology: theory and practice. Journal of Hydrologic Engineering, v. 12, n. 4, p. 369-380, 2007. DOI: 10.1061/(ASCE)1084-0699 (2007)12:4(369)

SANRAL Drainage Manual. Pretoria: SANRAL. (2007).

Santos HD, Carvalho Júnior W, Dart R, Áglio M, Sousa J, Pares J, Fontana A, Martins AL, Oliveira A. O novo mapa de solos do Brasil — legenda atualizada. Rio de Janeiro, Brasil: Embrapa Solos. (2011)

ŞEN, ZEKAI. Simple risk calculations in dependent hydrological series. Hydrological sciences journal, v. 44, n. 6, p. 871-878, 1999. DOI: 10.1080/02626669909492286

SELVAKUMARAN, Sivasakthy et al. Remote monitoring to predict bridge scour failure using Interferometric Synthetic Aperture Radar (InSAR) stacking techniques. International journal of applied earth observation and geoinformation, v. 73, p. 463-470, 2018.

SILVA, DD da et al. Equações de intensidade-duração-freqüência da precipitação pluvial para o estado de Tocantins. Engenharia na Agricultura, Viçosa, v. 11, n. 1/4, p. 7-14, 2003.

SINGH, Vijay P. Log-pearson type III distribution. In: Entropy-based parameter estimation in hydrology. Springer, Dordrecht, 1998. p. 252-274. DOI: 10.1007/978-94-017-1431-0_15

SINPDEC - Sistema Nacional de Proteção e Defesa Civil – Available in http://www.mi.gov.br/defesa-civil/s2id. Accessed in May 16 2017.

SMITHERS, J. C. Methods for design flood estimation in South Africa. Water SA, v. 38, n. 4, p. 633-646, 2012. DOI: 10.4314/wsa.v38i4.19

SMITHERS, J. C. et al. Performance of regional flood frequency analysis methods in KwaZulu-Natal, South Africa. Water SA, v. 41, n. 3, p. 390-397, 2015. DOI: 10.4314/wsa.v41i3.11

TINGSANCHALI, Tawatchai; KARIM, Fazlul. Flood-hazard assessment and risk-based zoning of a tropical flood plain: case study of the Yom River, Thailand. Hydrological Sciences Journal–Journal des Sciences Hydrologiques, v. 55, n. 2, p. 145-161, 2010. DOI: 10.1080/02626660903545987

TUNG, Yeou-koung; WONG, Chi-leung. Assessment of design rainfall uncertainty for hydrologic engineering applications in Hong Kong. Stochastic environmental research and risk assessment, v. 28, n. 3, p. 583-592, 2014. DOI: 10.1007/s00477-013-0774-2

TUNG, Yeou-Koung et al. Hydrosystems engineering reliability assessment and risk analysis. 2006.

VAN DER SPUY, D.; RADEMEYER, P. F. Flood frequency estimation methods as applied in the Department of Water Affairs. Department of Water Affairs, Pretoria, 2010.

VIVEKANANDAN, N.; MATHEW, F. T. Probabilistic modelling of annual d-day maximum rainfall. ISH Journal of Hydraulic Engineering, v. 16, n. sup1, p. 122-133, 2010. DOI: 10.1080/09715010.2010.10515021

WALD, Abraham; WOLFOWITZ, Jacob. An exact test for randomness in the non-parametric case based on serial correlation. The Annals of Mathematical Statistics, v. 14, n. 4, p. 378-388, 1943.

Yang T, Shao Q, Hao ZC, Chen X, Zhang Z, Xu CY, Sun L Regional frequency analysis and spatio-temporal pattern characterization of rainfall extremes in the Pearl River Basin, China. Journal of Hydrology, v. 380, n. 3-4, p. 386-405, 2010. DOI: 10.1016/j.jhydrol.2009.11.013

YUE, Sheng; HASHINO, Michio. Probability distribution of annual, seasonal and monthly precipitation in Japan. Hydrological sciences journal, v. 52, n. 5, p. 863-877, 2007. DOI: 10.1623/hysj.52.5.863

Publicado

2021-04-19

Como Citar

EVENTOS EXTREMOS DE PRECIPITAÇÃO E O RISCO DE FALHA ASSOCIADO EM PROJETOS HIDRÁULICOS NO ESTADO DE MATO GROSSO DO SUL, BRASIL. (2021). MIX Sustentável, 7(2), 147-160. https://doi.org/10.29183/2447-3073.MIX2021.v7.n2.147-160

Artigos mais lidos pelo mesmo(s) autor(es)